九州官方网站(中国)集团有限公司招标公告
【规格】按C13H13N5O5S2计(1)0.5g;(2)1.0g;(3)2.0g。
【包装】西林瓶装;1瓶/盒、5瓶/盒、10瓶/盒、20瓶/盒、50瓶/盒。
【单位】瓶
【批准文号】(1)0.5g 国药准字H20083753 (2)1.0g 国药准字H20083754(3)2.0g 国药准字H20083755
【药品名称】
通用名称:注射用头孢唑肟钠
英文名称:Ceftizoxime Sodium for Injection
汉语拼音:Zhusheyong Toubaozuowona
【成 份】
本品主要成份为头孢唑肟钠,无辅料。
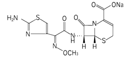
化学名称:(6R,7R)-7-[(Z)-2-(2-氨基-4-噻唑基)-2-(甲氧亚氨基)乙酰氨基]-8-氧代-5-硫杂-1-氮杂双环[4.2.0]辛-2-烯-2-甲酸钠盐。
化学结构式:

分子式: C13H12N5NaO5S2
分子量: 405.38
【性 状】
本品为白色至淡黄色结晶、结晶性或颗粒状粉末。
【适 应 症】
敏感菌所致的下呼吸道感染、尿路感染、腹腔感染、盆腔感染、败血症、皮肤软组织感染、骨和关节感染、肺炎链球菌或流感嗜血杆菌所致脑膜炎和单纯性淋病。
【规 格】按C13H13N5O5S2计(1)0.5g;(2)1.0g;(3)2.0g。
【用法用量】
1.成人常用量:一次1~2g,每8~12小时1次;严重感染者的剂量可增至一次3~4g,每8小时1次。治疗非复杂性尿路感染时,一次0.5g,每12小时1次。
2.6个月及6个月以上的婴儿和儿童常用量:按体重一次50mg/kg,每6~8小时1次。
3.肾功能损害者:肾功能损害的患者需根据其损害程度调整剂量。在给予0.5~1g的首次负荷剂量后,肾功能轻度损害的患者(内生肌酐清除率Clcr为50~79ml/分钟)常用剂量为一次0.5g,每8小时1次,严重感染时一次0.75~1.5g,每8小时1次;肾功能中度损害的患者(Clcr为5~49ml/分钟)常用剂量为一次0.25~0.5g,每12小时1次,严重感染时一次0.5~1g,每12小时1次;肾功能重度损害需透析的患者(Clcr为0~4ml/分钟)常用剂量为一次0.5g,每48小时1次或一次0.25g,每24小时1次,严重感染时一次0.5~1g,每48小时1次或一次0.5g,每24小时1次。血液透析患者透析后可不追加剂量,但需按上述给药剂量和时间,在透析结束时给药。
本品可用注射用水、氯化钠注射液、5%葡萄糖注射液溶解后缓慢静脉注射,亦可加在10%葡萄糖注射液、电解质注射液或氨基酸注射液中静脉滴注30分钟~2小时。
【不良反应】
1.皮疹、瘙痒和药物热等过敏反应、腹泻、恶心、呕吐、食欲不振等。
2.碱性磷酸酶、血清氨基转移酶轻度升高、暂时性血胆红素、血尿素氮和肌酐升高等。
3. 贫血(包括溶血性贫血)、白细胞减少、嗜酸性粒细胞增多或血小板减少少见。
4.偶见头痛、麻木、眩晕、维生素K和维生素B缺乏症、过敏性休克。
5.极少数病人可发生粘膜念珠菌病。
6.注射部位烧灼感、蜂窝组织炎、静脉炎(静脉注射者)、疼痛、硬化和感觉异常等。
【禁 忌】
对本品及其他头孢菌素过敏者禁用。
【注意事项】
1.拟用本品前必须详细询问患者先前有否对本品、其他头孢菌素类、青霉素类或其他药物的过敏史,因为在青霉素类和头孢菌素类等β内酰胺类抗生素之间已证实存在交叉过敏反应。在青霉素类抗生素过敏患者中约5%~10%可对头孢菌素出现交叉过敏反应。因此有青霉素类过敏史患者,有指征应用本品时,必须充分权衡利弊后在严密观察下慎用。如以往发生过青霉素休克的患者,则不宜再选用本品。如应用本品时,一旦发生过敏反应,需立即停药。如发生过敏性休克,需立即就地抢救,给予肾上腺素、保持呼吸道通畅、吸氧、糖皮质激素及抗组胺药等紧急措施。
2.对诊断的干扰:抗球蛋白(Coombs)试验可出现阳性。用Bendict、Fehling及Clinitest试剂检查尿糖可呈假阳性。血清碱性磷酸酶、血尿素氮、丙氨酸氨基转移酶、门冬氨酸氨基转移酶或血清乳酸脱氢酶值可增高。
3.几乎所有的抗生素都可引起假膜性肠炎,包括头孢唑肟。如在应用过程中发生抗生素相关性肠炎,必须立即停药,采取相应措施。
4.有胃肠道疾病病史者,特别是结肠炎患者应慎用。易发生支气管哮喘、皮疹、荨麻疹等过敏性体质者慎用。不能很好进食或非经口摄取营养者、高龄者、恶液质等患者应慎用,因为有出现维生素K缺乏症的情况。
5.虽然本品未显示出对肾功能的影响,应用本品时仍应注意肾功能,特别是在那些接受大剂量治疗的重症病人中。
6.与其他抗生素相仿,过长时间应用本品可能导致不敏感微生物的过度繁殖,需要严密观察,一旦发生二重感染,需采取相应措施。
7.一次大剂量静脉注射时可引起血管痛、血栓性静脉炎,应尽量减慢注射速度以防其发生。
8.本品溶解后在室温下放置不宜超过7小时,冰箱中放置不宜超过48小时。
【孕妇及哺乳期妇女用药】
动物实验中没有发现本品对生殖能力和胎儿有损害,但妊娠期用药的安全性尚不清楚,孕妇只在有明确指征时应用。
本品有少量可分泌至乳汁中,哺乳期妇女应用本品时应暂停哺乳。
【儿童用药】
6个月以下小儿使用本品的安全性和有效性尚未确定。
【老年用药】
老年患者常伴有肾功能减退,应适当减少剂量或延长给药间期。
【药物相互作用】
虽然尚无本品与其他药物相互作用的报道,但有其他头孢菌素与氨基糖苷类抗生素联合应用时出现肾毒性的报道。
【药物过量】尚不明确。
【药理毒理】
本品属第三代头孢菌素,具广谱抗菌作用,对多种革兰阳性菌和革兰阴性菌产生的广谱β内酰胺酶(包括青霉素酶和头孢菌素酶)稳定。本品对大肠埃希菌、肺炎克雷伯菌、奇异变形杆菌等肠杆菌科细菌有强大抗菌作用,铜绿假单胞菌等假单胞菌属和不动杆菌属对本品敏感性差。头孢唑肟对流感嗜血杆菌和淋病奈瑟球菌有良好抗菌作用。本品对金黄色葡萄球菌和表皮葡萄球菌的作用较第一、第二代头孢菌素为差,耐甲氧西林金黄色葡萄球菌和肠球菌属对本品耐药,各种链球菌对本品均高度敏感。消化球菌、消化链球菌和部分拟杆菌属等厌氧菌对本品多呈敏感,艰难梭菌对本品耐药。
本品作用机制为本品通过抑制细菌细胞壁粘肽的生物合成而达到杀菌作用。
【药代动力学】
肌内注射本品0.5g或1.0g后血药峰浓度(Cmax)分别为13.7mg/L和39mg/L,于给药后1小时到达。静脉注射本品2g或3g,5分钟后血药峰浓度(Cmax)分别为131.8mg/L和221.1mg/L。头孢唑肟广泛分布于全身各种组织和体液中,包括胸水、腹水、胆汁、胆囊壁、脑脊液(脑膜有炎症时)、前列腺液和骨组织中均可达治疗浓度。蛋白结合率30%。本品血消除半衰期(t1/2β)为1.7小时。在体内不代谢,24小时内给药量的80%以上以原形经肾排泄,因此尿液中药物浓度高。丙磺舒可使头孢唑肟的肾清除减少,血药浓度增高。
【贮 藏】
密封,在凉暗(避光并不超过20℃)干燥处保存。
【包 装】
西林瓶装;1瓶/盒、5瓶/盒、10瓶/盒、20瓶/盒、50瓶/盒。
【有 效 期】24个月。
【执行标准】《中国药典》2015年版第一增补本
【批准文号】(1)0.5g 国药准字H20083753 (2)1.0g 国药准字H20083754(3)2.0g 国药准字H20083755
【生产企业】
企业名称:九州官方网站(中国)集团有限公司
生产地址:山东省临沂高新技术产业开发区罗七路
邮政编码:276017
电话号码:0539-8257899 8481991
传真号码:0539-8481990
售后服务:0539-8242699
网 址:www.sandypants.com
敏感菌所致的下呼吸道感染、尿路感染、腹腔感染、盆腔感染、败血症、皮肤软组织感染、骨和关节感染、肺炎链球菌或流感嗜血杆菌所致脑膜炎和单纯性淋病。
1.成人常用量:一次1~2g,每8~12小时1次;严重感染者的剂量可增至一次3~4g,每8小时1次。治疗非复杂性尿路感染时,一次0.5g,每12小时1次。
2.6个月及6个月以上的婴儿和儿童常用量:按体重一次50mg/kg,每6~8小时1次。
3.肾功能损害者:肾功能损害的患者需根据其损害程度调整剂量。在给予0.5~1g的首次负荷剂量后,肾功能轻度损害的患者(内生肌酐清除率Clcr为50~79ml/分钟)常用剂量为一次0.5g,每8小时1次,严重感染时一次0.75~1.5g,每8小时1次;肾功能中度损害的患者(Clcr为5~49ml/分钟)常用剂量为一次0.25~0.5g,每12小时1次,严重感染时一次0.5~1g,每12小时1次;肾功能重度损害需透析的患者(Clcr为0~4ml/分钟)常用剂量为一次0.5g,每48小时1次或一次0.25g,每24小时1次,严重感染时一次0.5~1g,每48小时1次或一次0.5g,每24小时1次。血液透析患者透析后可不追加剂量,但需按上述给药剂量和时间,在透析结束时给药。
本品可用注射用水、氯化钠注射液、5%葡萄糖注射液溶解后缓慢静脉注射,亦可加在10%葡萄糖注射液、电解质注射液或氨基酸注射液中静脉滴注30分钟~2小时。